Products
全部分类
浏览量:
1000
1
产品描述
参数
来源
鼠尾草酸是存在植物中的酚酸类化合物,而且是优质高效的天然油溶性抗氧化剂。本品鼠尾草酸从迷迭香Rosmarinus officinalis Linn.的叶中提取。
产品特性
纯天然、高效、稳定(抗高温)和安全无毒副作用的油溶性抗氧化剂和绿色食品添加剂。
CAS NO:3650-09-7
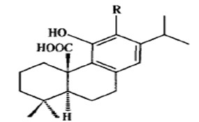
结构式:

分子式:C20H28O4
分子量:332.43
英文名称:Carnosic acid
编号 CAP5, CAP10, CAP15, CAP20, CAP25, CAP60
性状 黄色粉末
品质规格 5%,10%,15%,20%,25%,60% HPLC
作用
广泛用于富油食品及各类油脂,医药和日用化工等行业中作为天然抗氧化剂。
推荐用量 0.02%-0.1%
贮运 避光、防潮
安全性 迷迭香酸是一种从迷迭香植物中提取的天然抗氧化剂。
注意事项
1、鼠尾草酸与维生素E或有机酸(如柠檬酸、维生素C等)配合使用,能起到增效作用;
2、常温下不宜长期与铜器、铁器长期接触,高温下(80℃以上)禁止与铜器、铁器接触;
3、不宜在碱性条件下使用本产品;
4、使用时必须确保混合均匀。
包装
25千克/桶(有两层塑料袋内包装)
扫二维码用手机看