Products
全部分类
浏览量:
1000
1
产品描述
参数
来源
迷迭香酸又称罗丹酚酸,是存在于许多植物中的一种多酚。它是植物中芳香物质的一种,同时也是优质的纯天然水溶性抗氧化剂。本品迷迭香酸从迷迭香Rosmarinus officinalis Linn.的叶中提取。
产品特性
纯天然、高效、稳定(抗高温)和安全无毒副作用的水溶性抗氧化剂和绿色食品添加剂。
CAS NO.:20283-92-5
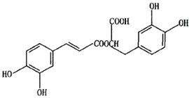
结构式:

分子式:C18H16O8
分子量:360.31
英文名称:Rosmarinic acid
编号 RA3,RA10,RA15,RA20
性状 黄色粉末
品质规格 3-5%,10%,15%,20% ,50%,70%HPLC
作用
广泛用于食品、功能食品、香料及调味品和日用 化工等行业中做为天然抗氧化剂。
推荐用量 0.02%-0.1%
贮运 避光、防潮
安全性 迷迭香酸是一种从迷迭香植物中提取的天然抗氧化剂。
注意事项
1常温下不宜长期与铜器、铁器长期接触,高温下(80℃以上)禁止与铜器、铁器接触。
2不宜在碱性条件下使用本产品;
3使用时必须确保混合均匀。
包装
25千克/桶(有两层塑料袋内包装)
扫二维码用手机看
上一个
无
下一个
鼠尾草酸